Für die Berechnung der Ferienzeit werden in AbaNinja im Hintergrund folgende Annahmen getroffen:
- Das Jahr hat immer 360 Tage
- Ein Monat hat immer 30 Tage (z.B. auch der Februar)
- Schaltjahre werden nicht berücksichtig
- Für die Berechnung wird der Start des Angestelltenverhältnisses verwendet (nicht das Eintrittsdatum)
Formel bei Eintritt am Start des Monats und Austritt am Ende des Monats:
Formel bei Eintritt während des Monats und Austritt am Ende des Monats:
Beispiel Eintritt Anfang Monat und Austritt Ende Monat:
- Ferien pro Jahr = 25
- Angestelltenverhältnis gültig ab 01.01.2023
- Austritt Ende Februar (28.02.2023)
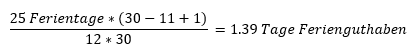
Beispiel Eintritt während des Monats:
- Ferien pro Jahr = 25
- Angestelltenverhältnis gültig ab 11.12.2023
- Austritt am 31.12.2023
Wird die Ferienzeit nicht angezeigt, muss zuerst das Vorjahr abgeschlossen werden, damit die restliche Ferienzeit aus dem Vorjahr dazugerechnet werden kann.
Kommentare
0 Kommentare
Zu diesem Beitrag können keine Kommentare hinterlassen werden.